占地面积
13年电离辐射、电磁辐射 ,X-γ辐射剂量检测
创新、聚焦、专注、服务、 感恩,只为满足您尊贵需求!
占地面积
拥有专业检测服务团队
各种检测认定荣誉资质
国内战略合作伙伴
什么是工业CT
工业CT(industrial computerizedtomography)即计算机断层扫描技术,是一种利用X射线穿透物体,通过计算机处理得到物体内部结构的无损检测技术,提供精确且可视化的三维内部结构信息。利用工业CT可以非接触、非破坏地检测物体内部结构,得到没有重叠的数据和图像,不仅可以提供精确且可视化的三维内部结构信息,还可以定量地给出细节的辐射密度数据。
因此工业CT能够快速、准确、直观的查找到产品的内部缺陷(缺陷类型、位置、尺寸等),如裂纹、气孔、疏松、夹杂等缺陷,并进行分析,找到出现缺陷的根本原因。

图片来源网络
工业CT结构工作原理
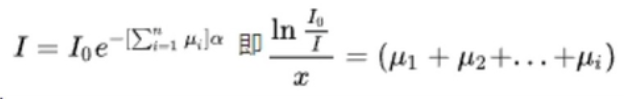
工业CT是在射线检测的基础上发展起来的,其基本原理是当经过准直且能量I0的射线束穿过被检物时,根据各个透射方向上各体积元的衰减系数从不同,探测器接收到的透射能量I也不同。按照一定的图像重建算法,即可获得被检工件截面一薄层无影像重叠的断层扫描图像,重复上述过程又可获得一个新的断层图像,当测得足够多的二维断层图像就可重建出三维图像。当单能射线束穿过非均匀物质后,其衰减遵从比尔定律:

即式中、为已知量,未知量为μ。一幅M×N个像素组成的图像,必须有M×N个独立的方程才能解出衰减系数矩阵内每一点的μ值。当射线从各个方向透射被检物体,通过扫描探测器可得到M×N个射线计数和值,按照一定的图像重建算法,即可重建出M×N个μ值组成的二维CT灰度图像。
放射防护检测
2022年10月,国家卫健委发布了《工业探伤放射防护标准》(GBZ117-2022)以下称本标准。本标准替代了GBZ117-2015《工业X射线探伤放射防护要求》、GBZ 132-2008《工业γ射线探伤放射防护标准》、GBZ175-2006《γ射线工业CT放射卫生防护标准》等3项标准。本标准规定了X射线和γ射线探伤的放射防护要求。适用于使用600kV及以下的X射线探伤机和γ射线探伤机进行的探伤工作(包括固定式探伤和移动式探伤),工业CT探伤和非探伤目的同辐射源范围的无损检测参考使用。

安全和防护状况年度评估报告
根据《放射性同位素与射线装置安全和防护管理办法》第十二条生产、销售、使用放射性同位素与射线装置的单位,应当对本单位的放射性同位素与射线装置的安全和防护状况进行年度评估,并于每年1月31日前向发证机关提交上一年度的评估报告。安全和防护状况年度评估报告应当包括下列内容:
(一)辐射安全和防护设施的运行与维护情况;
(二)辐射安全和防护制度及措施的制定与落实情况;
(三)辐射工作人员变动及接受辐射安全和防护知识教育培训(以下简称“辐射安全培训”)情况;
(四)放射性同位素进出口、转让或者送贮情况以及放射性同位素、射线装置台账;
(五)场所辐射环境监测和个人剂量监测情况及监测数据;
(六)辐射事故及应急响应情况;
(七)核技术利用项目新建、改建、扩建和退役情况;
(八)存在的安全隐患及其整改情况;
(九)其他有关法律、法规规定的落实情况。
年度评估发现安全隐患的,应当立即整改。

工业CT技术在无损检测领域具有独特的优势。它能够检测到微小的缺陷、裂纹、异物等问题,无需对被检测物体进行破坏性取样,保持了物体的完整性和可用性。这种高精度的检测能力使得工业CT在航空航天、汽车制造、电子设备等领域得到广泛应用。但是不管怎么说,工业CT都属于射线装置,我们在使用同时也一定要做好防护工作。